Динамические модели в биологии

Реестр моделей

Пространственно-временная самоорганизация биологических систем

Реакция Белоусова-Жаботинского

Пространственно-временные режимы, предсказанные в моделях типа реакция-диффузия можно наблюдать на химических моделях. Самой знаменитой из них является реакция, которую в 1958 г. описал русский химик Белоусов - окисление лимонной кислоты броматом калия, катализируемое ионной парой Се4+ - Се3+. Изучение этой реакции было продолжено Жаботинским (1964), который показал, что в качестве катализатора вместо церия можно применять марганец и железо, а в качестве восстановителя вместо лимонной кислоты - использовать ряд органических соединений, либо имеющих метиленовую группу, либо образующих ее при окислении. К таким соединениям относятся малоновая и броммалоновая кислоты. Обычно реакция проводят при 25 С в сернокислом растворе смеси бромата калия, малоновой и броммалоновой кислот и сернокислого церия. Экспериментальному и модельному изучению реакции Белоусова-Жаботинского посвящены сотни работ, так как она дает возможность на простой химической системе наблюдать особенности сложных процессов самоорганизации и допускает различного типа управление, в том числе с помощью различных режимов освещения (Мюллер, Зыков, 1998)

Упрощенная схема реакции представлена на рис. 13.
Рис. 13. Схема реакции Белоусова – Жаботинского.

В случае хорошего перемешивания в некоторой области начальных концентраций наблюдаются колебания окраски раствора, вызванные колебаниями концентрации Се4+. Колебания Се4+ - релаксацинные, период четко делится на две части - T1 - фаза нарастания и T2 - фаза спада.
Рис. 14. Колебания в модели Жаботинского (Жаботинский, 1974).

Механизм реакции весьма сложен с химической точки зрения и содержит десятки промежуточных стадий. Основные стадии:

  1. окисление трехвалентного церия броматом:
  2. востановление четырехвалентного церия малоновой кислотой:

Продукты восстановления бромата, образующиеся на стадии 1, бромируют МК. Получающиеся бромпроизводные МК разрушаются с выделение Br-. Бромид является сильным ингибитором реакции. Простейшая схема реакции:

Концентрация ионов церия Се4+ - x, концентрация автокатализатора - y, концентрация бромида - z.

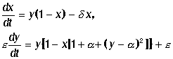
Кинетические уравнения, учитывая иерархию констант скоростей реакции и после введения безразмерных переменных, приходим к системе двух уравнений для концентраций ионов церия и автокатализатора x:

принимая во внимание временную иерархию констант реакций, дифференциальное уравнение для z может быть заменено алгебраическим, и при введении двух безразмерных переменных превратится в систему двух уравнений:

(37)

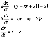
В литературе модель 'орегонатор', предложенная Field, Koros и Noyes (1972) встречается наиболее часто. Как частный случай, модель

(38)

используется чаще всего. Малые параметры e и d отражают соответствующую структуру времен процессов, а x соответствует безразмерной концентрации HBrO2; y - Br-; z - Сe4+.

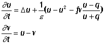
Для изучения пространственно-временных процессов часто используется модель, описывающая пространственно-временную динамику HBrO2 (переменная u) и катализатора Сe4+ (переменная v):

(39)

 

Дополнительная информация:

 

В начало

© 2001-2026 Кафедра биофизики МГУ